文献分享丨J Hepatol肝病免穿刺血检显身手
熬夜烧烤配啤酒,体检报告亮红灯?
现代人「肝不动」已成常态,脂肪肝、肝炎悄悄找上门。但你知道吗?科学家最近研发出一种「血液侦探术」,只需一滴血,就能提前预知肝病风险,准确率高达85%!快来围观这项黑科技👇
肝脏的「隐形杀手」:MASH
你可能听说过脂肪肝,但「MASH」才是真正的大BOSS!
🔍 MASH(代谢功能障碍相关脂肪性肝炎)是脂肪肝的升级版——肝脏不仅囤积脂肪,还会发炎、纤维化,甚至发展为肝硬化、肝癌。
可怕的是:早期MASH不痛不痒,等出现症状时,可能已错过最佳治疗期!
血液里的「福尔摩斯」:代谢组学
如何揪出这个「沉默杀手」?科学家把目光投向了血液中的「微观世界」。
💉 代谢组学:通过分析血液中上千种代谢物(比如脂肪、糖、氨基酸),绘制出独特的「健康密码」。
♂️ 中国团队发现:血液中某种「脂肪比例」(VLDL中的磷脂/总脂质)与MASH密切相关,成为预测肝病的「黄金指标」!
准确率吊打传统检测?数据说话!
📊 新开发的「MASH预测模型」表现如何?
✅ 训练人群:预测准确率88%(相当于10次预测9次正确!)
中国验证组:85% → 芬兰验证组:81%
对比传统肝纤维化指标(NFS、FIB-4),新模型随时间推移优势更明显,堪称「越测越准」!

未来应用:抽一管血,肝病风险全掌握
👩⚕️ 医生未来可能这样操作:
-
抽血检测代谢物 →②输入预测模型 → ③生成「肝病风险报告」
优势一目了然:
✔️ 无创:告别肝穿刺的疼痛和风险
✔️精准:早发现、早干预,逆转肝损伤
✔️省钱:一次检测,预防天价治疗费
结尾
🌍 科学正在改写疾病预防的剧本!或许不久的将来,「滴血验肝病」会成为体检标配。在此之前,别忘了——你的肝脏,值得温柔以待❤️
#冷知识
文中提到的「VLDL磷脂」是什么?
🔬 VLDL是血液中的「脂肪快递车」,磷脂是其「包装材料」。当肝脏「油腻超标」,这个比例会失衡,成为MASH的预警信号!
#后续的故事
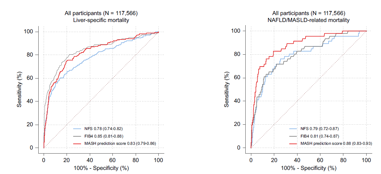
J Hepatol高亮刊登了这篇文章后,引起了同行的广泛讨论,针对其它科学家提出的疑问,复旦大学团队详细阐释了基于血液代谢组学的「MASH预测模型」的科学价值。研究团队通过补充分析证明:该模型在预测代谢功能障碍相关脂肪性肝炎(MASH)和肝病死亡率时,不仅在不同人群(中国队列、芬兰队列)中保持高准确率(AUROC 0.81-0.88),还随着时间推移显著优于传统指标(如NFS、FIB-4)。针对争议点,他们解释了关键生物标志物「VLDL中的磷脂/总脂质」的筛选逻辑——通过机器学习从数百项参数中锁定,可能与肝脏脂肪代谢直接相关。此外,决策曲线分析显示,该模型在广泛风险阈值范围内能为临床提供实质性获益。尽管部分机制仍需深究,但研究证实了无创血检在肝病早期预警中的巨大潜力,为精准医疗开辟了新路径。
参考文献
A metabolome-derived score predicts metabolic dysfunction-associated steatohepatitis and mortality from liver disease, J Hepatol. 2024 Oct 16:S0168-8278(24)02636-9. doi: 10.1016/j.jhep.2024.10.015.



