干货分享丨生命元素系列之氢、碱和碱土元素
哪些元素是人类生命所必需的?不同元素在医学中有什么应用?来自英国华威大学的Prinessa Chellan和Peter J. Sadler在Philosophical Transactions A以 “The elements of life and medicines” 为题对元素周期表中的元素进行逐一介绍。
哪些元素是人类生命所必需的?这是常常被问及的问题,表面看起来非常简单,实则不然。当你思考的时间越长,你会觉得回答起来越复杂。我们知道人类基因组的序列,也清楚其元素组成。然而,一种元素对生命既有有益的一面也有有害的一面。举个例子,人体内大概含有80 mg左右的铜,铜作为一种必需的微量元素在包括连接组织、骨头和神经发育等众多人类生理过程中都发挥重要功能,但是慢性铜中毒可以导致肝损伤,急性铜中毒会导致肠胃道炎症反应。
关于上述问题的回答也取决于我们如何定义“人类生命”。我们与大量的微生物是共生关系,人类肠道中有大约500-1000种细菌,细菌的细胞数比人体细胞数的10倍还多。如果这些细菌对元素的需求与我们自身的细胞不同,我们把这些元素能否称为人类生命的必需元素?
人体内含有至少60种可以检测到的化学元素,然而仅有大约25种被认为参与人体的健康功能。其他元素的重要性仍在争论之中,比如砷、铬、硼和锂,但是大多数实验都是在实验动物中进行的。另外某些超微量元素在人体中的营养价值很难判断。四五十年前营养学家主要使用啮齿动物模型做实验来研究元素的必要性。类似的实验花费颇多并且耗时,实验中需要纯化食物中的所有成分,并且要保证动物生活在特定环境中。营养学研究者Schwarz不但发现了硒是必需元素,也发现Sn、Si和Cd同样必不可少。
营养需求应该考虑营养物质的总体健康效应,而不只是它们对预防病理缺陷中的影响。对健康有益的超痕量元素值得制定特定的日摄入推荐量,包括I、Se、Mn、Mo、Cr和B,以及Co和维生素B12。摄入后明显有益的元素包括砷、氟、锂、镍、硅和钒。健康饮食也建议适当提供Al、Br、Cd、Ge、Pb、Rb和Sn。有关微量元素重要性的营养研究似乎并没有得到足够的重视。将啮齿动物研究所得到的结果外推到人类需要格外小心,因为人类和啮齿动物的基因序列不同,因此蛋白质序列也不同。某些低分子量代谢物(比如柠檬酸盐等金属螯合剂)的含量也可能不同。
本文将元素周期表分为四个部分,重点介绍当前对必需元素的了解和相关知识,元素在诊断和治疗中的作用,以及它们与生物活性相关的化学特性。
第一部分:氢、碱金属和碱土元素篇
第一组 氢和碱金属元素
氢(H, Z = 1)作为宇宙中含量最丰富的元素,其必要性是毫无疑问的。氢离子对维持pH值非常重要,大多数体液和组织内,pH值都稳定地保持在7.4左右,升高或降低都是不正常的信号。pH值的调控是通过缓冲液来实现的,比如血液中的碳酸/碳酸氢盐和蛋白质。在肿瘤组织中,pH值可以低到6-7,溶酶体中为4-5,核内体中甚至低到5.5。肠胃道中,十二指肠内pH值6-6.5,大肠为3.5-7,胃中为1-3。虽然自然中大多数氢元素为氕1H(99.9885%),在我们的饮食中也存在少量的重氢氘2H。同位素动力学效应对生命的影响和较重同位素生化反应的减缓在地球化学界是被公认的有趣现象。制药工业在许多方面使用2H,包括利用同位素动力学效应来减缓药物代谢(例如C-D键的裂解速度比C-H键慢6-10倍),质谱示踪和医学成像。放射性氚(3H,半衰期为12.3年)用作放射性示踪剂。据目前所知,人体并不直接使用氢气。但是,氢气是很多细菌的重要还原剂。氢化酶存在于光和细菌、固氮菌蓝藻、严格厌氧菌、沙门氏菌和大肠杆菌中。

图1.碱金属离子的离子半径和水化熵
锂(Li, Z = 3)不是必需元素,但是在某些自然界中的水里以Li+的形式存在,尤其是温泉水和一些商业瓶装矿泉水。人体内有约2.4 mg Li,也许低剂量的锂对人体有益。在医药领域,锂盐被广泛用于治疗双向情感障碍。Li+是一个非常小的离子(离子半径0.76 Å),具有较高的水化熵(−519 kJ mol−1)。
人类缺乏锂的症状主要表现为行为异常。低锂摄入量与行为改变和攻击性行为之间的联系已被报道。作为一种药物,锂具有抗躁狂性质。作为一种精神药物,它通常以碳酸锂的形式给药。超过200万美国成年人(占18岁以上人口的1%)患有双向情感障碍。最近一项研究表明锂会影响双向情感障碍患者的外周血基因表达。对锂有反应的双向情感障碍患者抑制细胞死亡的基因(Bcl2和IRS2)表达上调,而促进细胞死亡的基因被下调,包括已知的促凋亡基因BAD和BAK1。这些结果提示BCL2及其相关基因表达增加是锂发挥治疗效果的生物学基础。
锂是糖原合成酶激酶-3β(GSK-3β)的抑制剂,负责阿尔兹海默症中tau蛋白的过度磷酸化。在汉族人群中,谷氨酸脱羧酶样蛋白1(GADL1)遗传变异与双向情感障碍患者对锂治疗的影响度存在联系。两个单核苷酸多态性rs17026688和rs17026651和GADL1变异IVS8+48delG是预测对锂治疗是否有响应的亚裔双向情感障碍人群的有用指标。
钠(Na, Z = 11)和钾(K, Z = 19)都是必需元素,它们对细胞稳态的建立非常重要,体内浓度总量分别约112克和160克。钠离子和钾离子的生物化学性质相似,离子半径分别是1.02和1.38 Å,水化焓分别为−406和−322 kJ mol−1。细胞膜中存在特异的钠离子和钾离子蛋白泵(Na/K ATPases),能区分两种离子并使血浆钠离子保持在较高的浓度(140 mM),细胞内钠离子浓度较低(12 mM),但是钾离子的浓度梯度刚好相反(5 mM对140 mM),形成的电势梯度负责神经冲动的产生。钠钾离子跨膜的过程是Na+/K+ ATP酶驱动的主动运输过程,需要ATP水解供能。
Na+/K+ ATP酶每次可以向细胞外转运3个钠离子,同时向细胞内转运2个钾离子。这种电荷不相等的转运形成了膜两侧的电荷分离。钠钾泵是一个重要的神经细胞产生动作电位的原因。这个泵被称为P型离子泵,因为ATP相互作用使转运蛋白磷酸化,引起其构性变化。对于神经元,Na+/K+ ATP酶几乎消耗了细胞所需能量的三分之二。这种转运依赖于结合水分子的动力学不稳定性,其随着离子进入通道而迅速剥离。
钾的天然放射性同位素是40K,其丰度为0.012%,β-发射半衰期为1.3×109年。一般人体内大约有0.0169克40K,每分钟衰变266000次。
铷(Rb, Z = 37)几乎存在于所有的动物组织中,但被认为不是必需的。体重80 kg的成人体内约有37 mg铷。与钾类似,铷在肌肉组织、红细胞和脏器中的浓度较高,其生化性质也与钾相似。铷-82是一种非常有用的放射性核素,它衰变被电子俘获可用于正电子发射断层扫描(PET)。它可以在没有回旋加速器的情况下产生,并且半衰期很短(75秒),可以连续成像,临床上用于PET心肌灌注成像(MPI)。采用82Rb高计数率PET可以同时测量心肌血流(MBF)和MPI。该方法对个别病人解剖结构或注射部位的选择性较低,使其成为一种可以获得准确MBF数据而不损失图像质量 的工具。
铯(Cs, Z = 55)是体内一种痕量非必需元素。人体内约有1.6 mg铯,分布在肌肉、骨骼和血液中。铯-131(131Cs,电子俘获衰变半衰期9.7天)作为前列腺癌的治疗方法已在肿瘤学领域应用。它被用于近距离放射治疗,治疗时放射源被植入肿瘤内或肿瘤附近,使肿瘤暴露在高剂量的辐射下,同时尽量减少健康组织的辐射暴露。一种具有中枢神经系统活性的含有铯的碳硼烷最近被报道在小鼠模型中具有抗抑郁效果,其主要通过抑制阳离子选择性嘌呤能受体离子通道P2X7R的孔道形成发挥作用。
第二组 碱土元素
铍(Be, Z = 4)不是必需元素(体内只有约3微克),其是一种高毒性化合物,可以导致过敏反应。金属-肽配位化学似乎在这种免疫反应中起着关键作用。Be2+是一个非常小的离子(0.41 Å),因此在水中高度酸化,[Be(H2O)4]2+的pKa为3.5,倾向于形成聚合氢氧化物。
当人体通过皮肤接触、吸入和移植含有金属的人造物暴露在某些金属离子时,人的免疫系统就会发起免疫攻击。这些过敏反应的程度可以只是简单的不舒服也可以是威胁生命的系统性的疾病。目前研究最广泛的人体过敏金属是镍和铍。αβ T细胞在超敏反应中起着至关重要的作用。金属离子作为半抗原起作用,半抗原是一种可以刺激免疫反应的小分子,只有附着在蛋白质等较大的载体上时,才能结合到主要表面组织相容性复合物(MHC)的表面。这导致MHC结合表面的修饰,从而激活T细胞的免疫反应。金属特异性αβ T细胞受体(TCRs)通常是受MHC限制的(即T细胞只识别当结合到人体自身MHC分子的抗原肽),尤其是MHCII类(MHCII)的限制。
尽管有许多模型被提出,但是金属过敏的机制和分子基础仍然知之甚少。慢性铍病(CBD)是一种工作场所铍暴露导致的超敏反应疾病。CBD的特点是肺组织中铍特异性CD4+ T细胞的集聚和肉芽肿性炎症。取决于遗传易感性和暴露的性质,这种情况可能发生在2-16%的暴露工人。这种易感性与HLA-DP等位基因有关。
T细胞激活需要什么样的铍并没有定论,很可能T细胞并不能区分不同的含铍复合物。模拟表位和内源性肽与MHCII和铍形成复合物,此复合物可以被致病性CD4+ T细胞识别。这些多肽中的p4和p7的天冬氨酸和谷氨酸残基围绕铍可能的结合位点与HLA-DP2一起形成铍的配位。
镁(Mg, Z = 12)是人体中丰度第四的元素,约含有25 g,分布于骨骼、骨骼肌和软组织(30-40%)以及细胞外体液(1%)。Mg2+是复制、转录和翻译中必不可少的辅助因子。镁还参与维持脂质膜、核酸和核糖体的稳定,在代谢网络和信号传导中起着重要的作用。它参与调控酶的活性,并将大分子传递到特定的复合物或者细胞中的不同位置。
尽管镁对人体健康有影响,但是人们对调控镁转运和存储的分子机制知之甚少。MgtE和CorA是原核生物的Mg2+转运系统,是一种独特的含有10个跨膜α螺旋的膜蛋白。MgtE和CorA通过专属的调控结构域对生理相关的细胞内Mg2+水平进行感知和响应。在这些结构域内,多个Mg2+结合位点调控离子通道的构象,表明Mg2+的转运是受到严格调控的。
人的镁转运蛋白1(MAGT1)是一个调控细胞内最低水平游离Mg2+离子的关键调控因子。MAGT1基因缺陷可以导致淋巴瘤易感性以及EB病毒(EBV)水平升高。细胞内游离Mg2+水平降低与NK细胞和CD8+ T细胞中自然杀伤激活受体NKG2D表达缺陷相关,也会影响细胞溶解杀伤对EBV的反应。当MGAT1缺陷病人给予镁补充剂,可以使细胞内Mg2+和NKG2D回到正常水平,也可以降低细胞的EBV感染。这些结果表明NKG2D的细胞溶解活性与EBV抗病毒免疫之间存在联系。
Ca2+和Mg2+的生物化学性质类似,Mg2+的离子半径相对小一点,其交换结合水配体的速率更慢,在细胞内的浓度更高。尽管体内钙(Ca, Z = 20)含量较高(约1.1 kg),细胞内总浓度为1-10 mM,但是游离的Ca2+水平仅为纳摩尔到微摩尔,其主要通过诱导钙离子敏感蛋白肌钙蛋白的机构变化来调控骨骼肌和心肌的收缩。通过蛋白质和小配体协调控制Ca2+可以确保血浆中的钙离子处于过饱和状态,而不会持续沉积磷酸钙矿物质到骨骼中。从所有真核细胞脂膜转运Ca2+的Ca2+ ATP酶由四个独立的基因编码。
在骨骼和牙齿中,细胞外胶原蛋白基质的产生和矿化是由成骨细胞和成牙细胞来控制 。相比之下,破骨细胞清除骨矿物质和骨基质,使骨细胞对骨的形成和吸收起着重要的调节作用。这是调节体内Ca2+以及Mg2+和磷酸盐的关键步骤。破骨细胞能将骨吸收腔内的pH值降到4.5,这是由于它们脂膜H+泵的作用,从而协助骨矿物质的动员,同时分泌溶酶体酶消化有机基质。大量的Ca2+被成熟的破骨细胞重吸收,Na+/Ca2+交换将过量的Ca2+转运到细胞外以确保细胞的正常存活。
虽然人体内约有0.4 g锶(Sr,Z = 38),但是锶不是必需元素。它在体内的处理方式与钙类似。锶似乎有一些有益的影响,锶盐是众所众知的牙膏添加剂。经常用含有锶添加剂的牙膏刷牙可以增加外露牙釉质的锶含量,可以防止龋齿的发生,强化牙釉质。
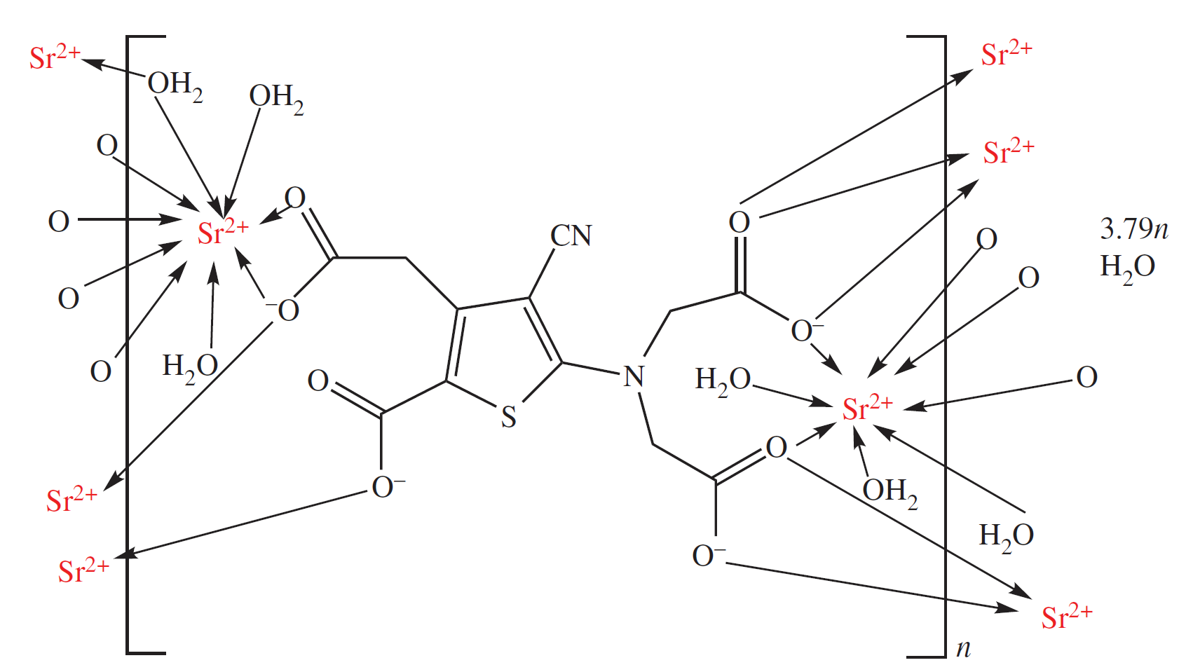
图2. 雷奈酸锶的高分子结构,每个单体单元含有两个Sr2+离子
药物锶(II)雷奈酸酯有助于骨生长,增加骨密度,降低骨密度骨质疏松患者骨折的发生率。X射线衍射分析药物锶(II)雷奈酸酯发现了一种聚合物结构,每个Sr2+离子与羧酸盐和水原子结合。在临床试验期间,服用该药物的女性表现出显著的骨密度增加。骨密度增长的一半被认为是Sr的原子量比Ca高的结果,另一半是真正的骨密度增加。局部制剂中使用锶盐添加剂可以减少刺激性接触性皮炎的症状。这种过敏影响了使用外用药、化妆品和个人护理产品的很多人。锶-89是一种被批准的医用放射性核素,β-发射半衰期为50.5天,常以氯化物盐的形式使用。其在成骨细胞转移中的摄取约为正常骨骼中的6倍。它能有效缓解乳腺癌和前列腺癌的骨转移性疼痛。
人体内大约含有24 mg钡(Ba,Z = 56)。钡不是必需元素,通常具有毒性。在医学上,钡最著名的用途是(相对不溶的)BaSO4餐,其作为一种造影剂用于胃肠道X射线成像,提供食管、胃和十二指肠的X线片。硫酸钡在水中的溶解度极低(3.1 mgL-1),不易挥发,因此对身体无害。少量的Ba2+离子可以被胃酸溶解。巴西坚果中的钡含量有时令人担忧。有报道称,一名男子从92克巴西坚果中单次摄入179毫克钡。
镭(Ra, Z = 88)的所有同位素都是放射性的。我们体内有超微量的镭,其没有什么有益的作用。二氯化镭-223是一种α射线药物(半衰期为11.4天),批准用于治疗有症状的骨转移和对去势治疗耐受的前列腺癌。223Ra2+是Ca2+的模拟物,短程高能α粒子可以选择性地靶向骨转移,引起双链DNA断裂,并具有极大的局部细胞毒性,产生的骨髓抑制作用可以忽略。223Ra在体内的活性提高了其前列腺癌骨转移病人临床试验的有效性和安全性。这是一种有效缓解骨痛的药物。



